Ülitõhusad IE5 mootorid on nüüd saadaval
Mitmesugused elektrimootorid ja ajamisüsteemid tarbivad u 40% maailma elektrienergia toodangust, vastutades u 6 GT kasvuhoonegaaside tekke eest aastas. EL-s on elektrimootorite osatähtsus u 46%. Kuna elektrimootorite kasutamine, näiteks transpordis kiiresti laieneb, siis kasvab paratamatult ka vastav heitmete osakaal.
Juhtivad elektrimootorite tootjad arendavad seetõttu uudseid energiasäästlike elektrimootoreid – neid pakuvad ABB, Ber-Mar, Delta Electronics, Cantoni, Lenze, MT-Motori, Omron, Schneider Electric jpt.
Elektrimootorite energiatõhususest ja -tõhususklasside standarditest
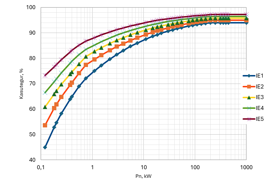
Elektrimootori kasutegur näitab mootori võllil kasulikuks tööks muundatud energia ja selleks tarbitud elektrienergia jagatist protsentides. Kasutegur on alati sajast väiksem mootori energiakadude protsendi võrra. Võrgutoitega vahelduvvoolu elektrimootorite energiatõhususe klassid on määratud standardiga IEC 60034-30-1 ja EL Komisjoni määruse 2019/1781 lisa I p. 1 ökodisaini nõuetega nimivõimsuste ja -kiiruste kaupa IE1 (standard) kuni IE4 (super premium) sedasi, et mootori kaovõimsus on igas järgmises klassis u 20% väiksem kui eelmises. Uuemas standardis EVS-EN 60034-30-1:2014 on energiatõhususe klassid IE1 kuni IE5 (ultra premium). Peagi on oodata nimetatud standardi uut versiooni, mis on arvamusküsitlusel.
Sagedusjuhtimisega mootorite energiatõhusus võib olla kõrgem kui parimatel võrgutoitelistel asünkroonmootoritel. Seetõttu on tehnilise spetsifikatsiooniga IEC TS 60034-30-2:2016 määratud muudetava kiirusega elektrimootorite energiatõhususe klassid IE1 kuni IE5 (ultra premium). Viimane oli eelmise standardiga katmata. Selle IEC spetsifikatsiooni käsitlusalasse kuuluvad 0,12 kuni 1000 kW muudetava kiirusega asünkroonmootorid, alalisvooluergutusega ja püsimagnet-sünkroonmootorid ning siinus-reluktantsmootorid, mis pole ette nähtud otsesele võrgutoitele. Sagedusmuundurite jm toiteseadmete energiatõhusust nimetatud standard ei käsitle (vt EN 52800).
Püsimagnet-sünkroonmootoril on püsimagnetitega rootor, mis hakkab liikuma koos staatorimähiste magnetväljaga, sest erinimelised poolused tõmbuvad. Püsimagnet-sünkroonmootorites kasutatakse enamasti haruldaste muldmetallidest (NdFeB, SmCo) püsimagneteid, mis on väga tugevad, kuid kallihinnalised ja piiratud saadavusega.
Reluktantsmootori rootori magnetahelas on suure ja väikese magnetilise takistusega osad, mille asukohad rootori pinnal vastavad staatorimähise poolustele. Rootori väiksema magnetilise takistusega osa järgib staatorimähise tekitatud pöörlevat magnetvälja, tõmbudes pidevalt selle poole sarnaselt elektromagnetile. Kuna reluktantsmootori rootor reeglina püsimagneteid ega värvilisi metalle ei vaja, siis on need väga perspektiivsed eletertranspordis ja paljudes tööstusrakendustes.
Reluktantsmootorid on suurepärase kasuteguriga (IE4 ja IE5), madalate tootmiskuludega ja väiksema süsinikdioksiidi heitmega tänu alumiiniumi- või vasevabale rootorile. Peamine puudus on vajadus sagedusmuunduri järele, mida niikuinii enamjaolt vaja läheb. Samuti aitab kõrgem toite nimisagedus (150 … 200 Hz) vähendada mootori gabariiti umbes 1 astme võrra, mis tähendab veelgi kergemaid ja kiiretoimelisemaid masinaid.
IE5 klassi energiatõhususe nõudeid saab erivõimsust vähendamata täita erinevate reluktants- ja püsimagent-sünkroonmootoritega. IE4 nõudeid saab täita ka võimsamate asünkroonmootoritega.
Joonis 1: Elektrimootorite nimikasutegurid energiatõhususe klassidel IE1 – IE5
IE5 klassi energiatõhususe nõudeid saab erivõimsust vähendamata täita erinevate reluktants- ja püsimagent-sünkroonmootoritega. IE4 nõudeid saab täita ka võimsamate asünkroonmootoritega.
Delta MSI seeria IE5 ja IE4 elektrimootorid
Firma Delta Electronics MSI reluktantsmootoreid toodetakse nimivõimsusega 0,75 … 75 kW nimikiirusele 3000 p/min ning 0,75 … 45 kW nimikiirusele 1500 p/min. Tehnilised andmed leiate MSI mootorite kataloogist [4].

MSI mootorite eelised asünkroonmootoritega võrreldes:
- vastavad IE5 (ultra premium) või IE4 (premium) energiatõhususe klassile;
- võimaldavad täiendavat energiasäästu pikaajalisel tööl madala koormusega;
- on suurema erivõimsusega, kompaktsed ja kerged, võimaldades kasutada 1 – 2 astet väiksema gabariidiga mootoreid;
- lihtsad paigaldada, kuna gabariidid on ühtesobivad standardsete asünkroonmootoritega;
- madalam müratase ja vibratsioon;
- sobivad optimaalselt kokku Delta vektorjuhtimisega sagedusmuunduritega MS300 ja CP2000, milles on nende eripäradega arvestatud.
IE4 ja IE5 elektrimootorid on saadaval erinevate kinnitustega, nagu kõik IEC 60034 standardi kohased elektrimootorid, vt allolevat joonist.

Kokkuvõte
Üleminekul järgmisse energiatõhususe klassi väheneb elektrimootori energiakadu u 20% võrra. Energiasääst on kõige suurem pidevatoimelistes ja rakendustes, nagu pumbad, ventilaatorid, kompressorid, konveierid, eskalaatorid, segumasinad, veskid, ekstruuderid, tõmbemasinad, valtspingid, kalandrid, tekstiili- ja puidumasinad jne. Tuleb arvestada, et IE5 ja mõnesid IE4 mootoreid ei saa otse võrku ühendada ning need nõuavad sagedusjuhtimisele üleminekut.
![]() | Küsige energiasäästlike elektrimootorite nõuandeid ja pakkumist Delta Electronics-i esindajalt Energiatehnika OÜ – info@energiatehnika.ee, www.energiatehnika.ee või tel 655 1312 |
Allikaid
- Paul Waide, Conrad U. Brunner (2011) – „Energy-Efficiency Policy Opportunities for Electric Motor-Driven Systems” Aadress: https://www.researchgate.net/publication/254439185_Energy-Efficiency_Policy_Opportunities_for_Electric_Motor-Driven_Systems [Online ressurss]
- IEC TS 60034-30-2:2016 Rotating electrical machines – Part 30-2: Efficiency classes of variable speed AC motors (IE-code)
- EVS-EN 60034-30-1:2014 PÖÖRLEVAD ELEKTRIMASINAD Osa 30-1: Võrgutoiteliste vahelduvvoolumootorite tõhususklassid (IE-kood)
- Delta Electronics PMA sünkroonreluktantsmootorite MSI seeria kataloog: https://filecenter.deltaww.com/Products/download/06/060108/Catalogue/DELTA_IA_MSI_Motor_C_EN_20240807.pdf

